High-Performance Computing Center Stuttgart

Hadronic Contributions to the Anomalous Magnetic Moment of the Muon from Lattice QCD

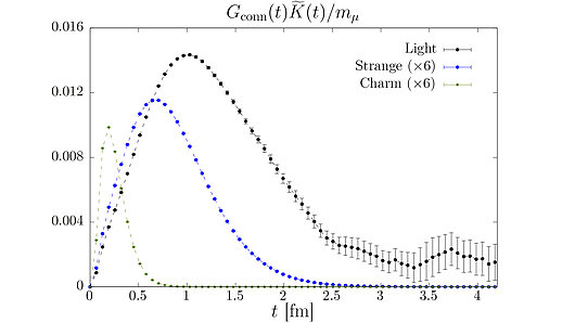
Graph of the quark-connected vector correlator multiplied by the kernel function  K(t) as a function of Euclidean time.
Image: Johannes Gutenberg University, Mainz

The Standard Model of Particle Physics is a highly successful theoretical framework for the treatment of fundamental interactions, but fails to explain phenomena such as dark matter or the abundance of matter over antimatter. Precision observables, such as the anomalous magnetic moment of the muon, aμ, play a central role in the search for “New Physics”. A promising hint is provided by the persistent tension of 3.7 standard deviations between the theoretical estimate for aμ and its experimental determination. In our project we employ the methodology of lattice QCD to compute the hadronic contributions to aμ from first principles. In the long run, our results will supersede the estimates based on data-driven approaches and hadronic models.

Read the complete user report at the Gauss Centre for Supercomputing.

Principal Investigator

Hartmut Wittig

Institute for Nuclear Physics and PRISMA Cluster of Excellence, Johannes Gutenberg University of Mainz